Samir Brahim Belhaouari

Associate Professor, Hamad Bin Khallifa Uniersity

sbelhaouari [AT] hbku.edu.qa

Bio

My research interests cover various areas of pure and applied mathematics related to stochastic processes and machine learning. My recent work has focused on data augmentation [KNNOR, KNNOR-Reg, Image Generation], Feature extraction and selection [Radex Transform, Random Feature Explosion, Bird’s Eye View feature selection], Deep learning: Proposing advanced Architecture, optimization techniques, , loss function, and activation function, Outlier detection and clustering algorithms, Probability and Statistics models, Biomedical and Bioinformatics modeling [Visual Signal Analysis, Progressive Fourier Transform], Number Theory and applications in security[Collatz Conjecture to chaos and hash function]

I'm an Assistant Professor in the College Of Science And Engineering at Hamad Bin Khalifa University. Before joining HBKU, I have held several research and teaching positions at Innopolis University, Russia, Alfaisal University, KSA, University of Sharjah, UAE, University Technology PETRONAS, Malaysia, and EPFL Federal Swiss School, Switzerland. I received my Ph.D. degree in Mathematics from the Federal Polytechnic School of Lausanne-Switzerland. I did my M.Sc. in Networks and Telecommunications: Signal/Image Processing from the National Polytechnic Institute (INP/ENSEEIHT), France.

Publications

Most recent publications on Google Scholar.
indicates equal contribution.

Bio-Inspired Adaptive Neurons For Dynamic Weighting In Artificial Neural Networks

Ashhadul Islam, Abdesselam Bouzerdoum and Samir Brahim Belhaouari

arXiv, submitted to AI Open

Oversampling techniques for imbalanced data in regression

Belhaouari, Samir Brahim, Ashhadul Islam, Khelil Kassoul, Ala Al-Fuqaha, and Abdesselam Bouzerdoum

Expert Systems with Applications 252 (2024): 124118

A Novel Fractional Edge Detector Based on Generalized Fractional Operator

Elgezouli, Diaa Diaa Eldin, Mohamed Abdoon, Samir Brahim Belhaouari, and Dalal Khalid Almutairi.

European Journal of Pure and Applied Mathematics 17, no. 2 (2024): 1009-1028.

Introducing Novel Radon Based Transform for Disease Detection From Chest X-Ray Images

Ashhadul Islam, Farida Mohsen, Zubair Shah, Samir Brahim Belhaouari

2024 6th International Conference on Pattern Analysis and Intelligent Systems (PAIS)

Defense against adversarial attacks: robust and efficient compressed optimized neural networks

Insaf Kraidia, Afifa Ghenai & Samir Brahim Belhaouari

Scientific Reports 14, no. 1 (2024): 6420

Exploring new horizons in neuroscience disease detection through innovative visual signal analysis

Nisreen Said Amer & Samir Brahim Belhaouari

Scientific Reports

A novel few shot learning derived architecture for long-term HbA1c prediction

Marwa Qaraqe, Almiqdad Elzein, Samir Belhaouari, Md Shafiq Ilam & Goran Petrovski

Scientific Reports

A Novel Light Reflection-Random Walk for Smart Sensors Relocation

Nadia Belguerche, Samir Brahim Belhaouari, Noureddine Lasla & Mahfoud Benchaïba

Journal of Network and Systems Management

A collaborative filtering recommendation framework utilizing social networks

Aamir Fareed, Saima Hassan, Samir Brahim Belhaouari, Zahid Halim

Machine Learning with Applications

Deep learning based multimodal urban air quality prediction and traffic analytics

Saad Hameed, Ashadul Islam, Kashif Ahmad, Samir Brahim Belhaouari, Junaid Qadir & Ala Al-Fuqaha

Scientific Reports

Progressive Fourier Transform (PFT): Enhancing Time-Frequency Representation of EEG signals for Stress and Seizure Detection

Nisreen S Amer, Samir Brahim Belhaouari, Halima Bensmail

2023 IEEE International Conference on Bioinformatics and Biomedicine (BIBM)

Distance Based Joint Probability Density Estimation For Unsupervised Outlier Detection

Atiq ur Rehman, Samir Brahim Belhaouari

2021 IEEE Jordan International Joint Conference on Electrical Engineering and Information Technology (JEEIT)

Bio-Inspired Adaptive Neurons For Dynamic Weighting In Artificial Neural Networks

Ashhadul Islam, Abdesselam Bouzerdoum and Samir Brahim Belhaouari

arXiv, submitted to AI Open

Oversampling techniques for imbalanced data in regression

Belhaouari, Samir Brahim, Ashhadul Islam, Khelil Kassoul, Ala Al-Fuqaha, and Abdesselam Bouzerdoum

Expert Systems with Applications 252 (2024): 124118

A Novel Fractional Edge Detector Based on Generalized Fractional Operator

Elgezouli, Diaa Diaa Eldin, Mohamed Abdoon, Samir Brahim Belhaouari, and Dalal Khalid Almutairi.

European Journal of Pure and Applied Mathematics 17, no. 2 (2024): 1009-1028.

Introducing Novel Radon Based Transform for Disease Detection From Chest X-Ray Images

Ashhadul Islam, Farida Mohsen, Zubair Shah, Samir Brahim Belhaouari

2024 6th International Conference on Pattern Analysis and Intelligent Systems (PAIS)

Defense against adversarial attacks: robust and efficient compressed optimized neural networks

Insaf Kraidia, Afifa Ghenai & Samir Brahim Belhaouari

Scientific Reports 14, no. 1 (2024): 6420

Exploring new horizons in neuroscience disease detection through innovative visual signal analysis

Nisreen Said Amer & Samir Brahim Belhaouari

Scientific Reports

A novel few shot learning derived architecture for long-term HbA1c prediction

Marwa Qaraqe, Almiqdad Elzein, Samir Belhaouari, Md Shafiq Ilam & Goran Petrovski

Scientific Reports

A Novel Light Reflection-Random Walk for Smart Sensors Relocation

Nadia Belguerche, Samir Brahim Belhaouari, Noureddine Lasla & Mahfoud Benchaïba

Journal of Network and Systems Management

A collaborative filtering recommendation framework utilizing social networks

Aamir Fareed, Saima Hassan, Samir Brahim Belhaouari, Zahid Halim

Machine Learning with Applications

Deep learning based multimodal urban air quality prediction and traffic analytics

Saad Hameed, Ashadul Islam, Kashif Ahmad, Samir Brahim Belhaouari, Junaid Qadir & Ala Al-Fuqaha

Scientific Reports

Progressive Fourier Transform (PFT): Enhancing Time-Frequency Representation of EEG signals for Stress and Seizure Detection

Nisreen S Amer, Samir Brahim Belhaouari, Halima Bensmail

2023 IEEE International Conference on Bioinformatics and Biomedicine (BIBM)

Distance Based Joint Probability Density Estimation For Unsupervised Outlier Detection

Atiq ur Rehman, Samir Brahim Belhaouari

2021 IEEE Jordan International Joint Conference on Electrical Engineering and Information Technology (JEEIT)

Detecting Network Effects: Randomizing Over Randomized Experiments

Martin Saveski, Jean Pouget-Abadie, Guillaume Saint-Jacques, Weitao Duan, Souvik Ghosh, Ya Xu, Edo Airoldi

KDD'17: International Conference on Knowledge Discovery and Data Mining. 2017. (Research Track)

Human Atlas: A Tool for Mapping Social Networks

Martin Saveski, Eric Chu, Soroush Vosoughi, Deb Roy

WWW'16: International Conference on the World Wide Web. 2016. (Demo)

Topic Modeling in Twitter: Aggregating Tweets by Conversations

David Alvarez-Melis, Martin Saveski

ICWSM'16: International AAAI Conference on Web and Social Media. 2016. (Short Paper)

Tracking the Yak: An Empirical Study of Yik Yak

Martin Saveski, Sophie Chou, Deb Roy.

ICWSM'16: International AAAI Conference on Web and Social Media. 2016. (Short Paper)

One-Pass Ranking Models for Low-Latency Product Recommendations

Antonino Freno, Martin Saveski, Rodolphe Jenatton, Cédric Archambeau

KDD'15: International Conference on Knowledge Discovery and Data Mining. 2015. (Industry Track)

Item Cold-Start Recommendations: Learning Local Collective Embeddings

Martin Saveski, Amin Mantrach.

RecSys'14, ACM Conference Series on Recommender Systems. 2014.

The Geography of Online News Engagement

Martin Saveski, Daniele Quercia, Amin Mantrach

Socinfo'14: International Conference on Social Informatics. 2014.

Joint semi-supervised Learning of Hidden Conditional Random Fields and Hidden Markov Models

Yann Soullard, Martin Saveski, Thierry Artières

Pattern Recognition Letters. 2013.

Web Services for Stream Mining: A Stream-Based Active Learning Use Case

Martin Saveski, Miha Grčar

ECML'11, Workshop on Planning to Learn and Service-Oriented Knowledge Discovery. 2011.

Automatic Construction of Wordnets by Using Machine Translation and Language Modeling

Martin Saveski, Igor Trajkovski

In Proceedings of Seventh Language Technologies Conference. 2010.

Development of an English-Macedonian Machine Readable Dictionary by Using Parallel Corpora

Martin Saveski, Igor Trajkovski

Proceedings of ICT Innovations Conference. 2010.

Projects

Bio-Inspired Adaptive Neurons For Dynamic Weighting In Artificial Neural Networks
Bridging the Gap Between Biological and Artificial Neurons Through Adaptive Weighting
MADL: A Multilevel Architecture of Deep Learning
Improving CNN Performance with Multilevel Deep Learning Architecture (MADL)
A novel Time-Frequency decomposition
Transforming Time Series into Richer Images for Enhanced Classification
Smart Pruning of Deep Neural Networks
Efficient Pruning of Deep Neural Networks Using Polynomial Curve Fitting and Evolutionary Algorithms
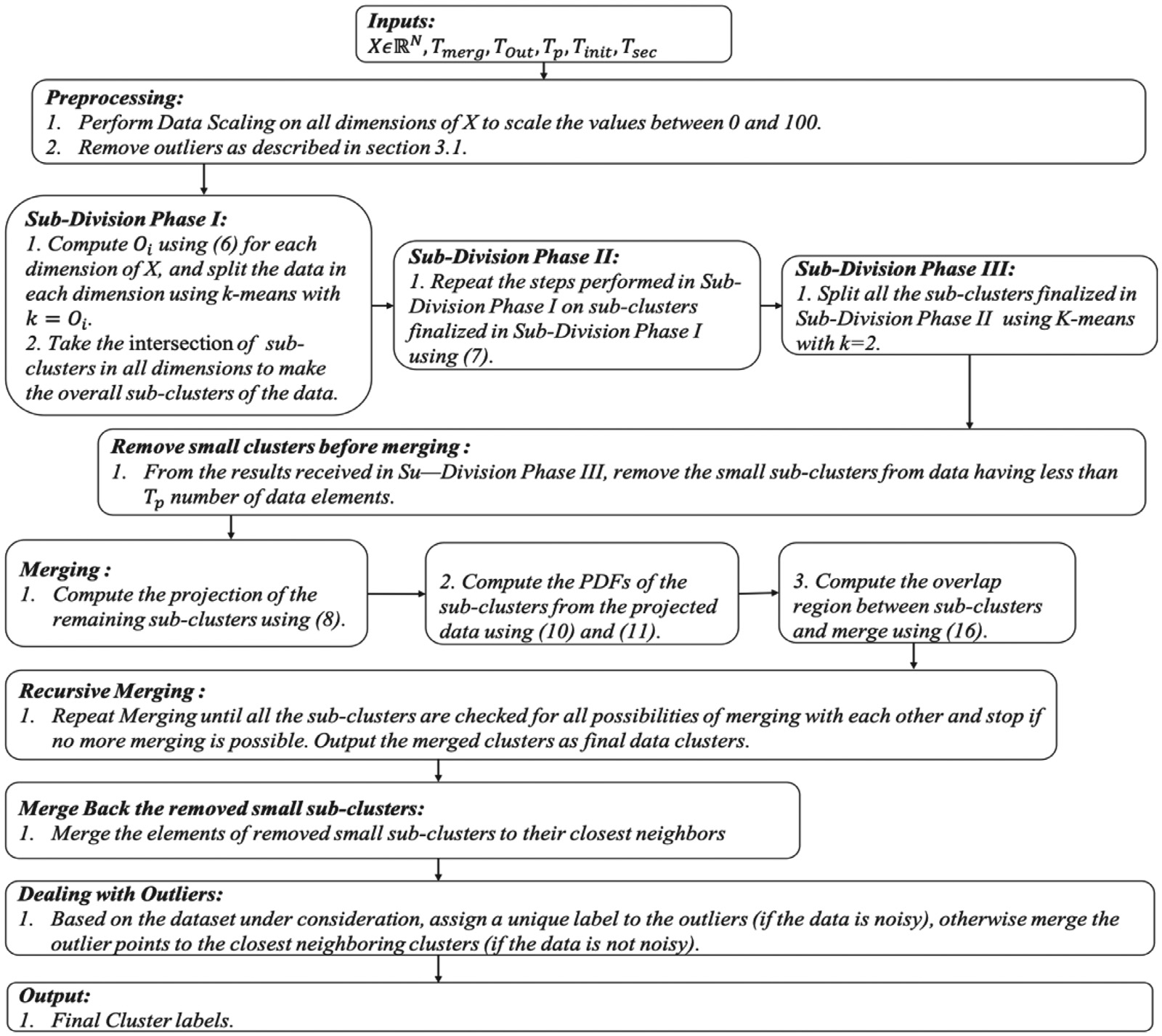
Divide well to merge better: A novel clustering algorithm
An Enhanced Non-Parametric Approach for Optimized Clustering
KNNOR: An oversampling technique for imbalanced datasets
Enhancing Minority Class Representation in Imbalanced Datasets with Advanced K-Nearest Neighbor Oversampling
Unsupervised outlier detection in multidimensional data
Efficient and Robust Outlier Detection Using Unidimensional Distance Space and Joint Probability Density Estimation
Multi-Cluster Jumping Particle Swarm Optimization for Fast Convergence
A Novel Approach for Fast Convergence in High-Dimensional Optimization
Enhancing Random Forests with Smart Voting
Innovations in the Random Jungle Algorithm
Distance Based Joint Probability Density Estimation for Unsupervised Outlier Detection
Advantages and Evaluation of the Proposed JPDE-DM Approach for Outlier Detection
Bio-Inspired Adaptive Neurons For Dynamic Weighting In Artificial Neural Networks
Bridging the Gap Between Biological and Artificial Neurons Through Adaptive Weighting
MADL: A Multilevel Architecture of Deep Learning
Improving CNN Performance with Multilevel Deep Learning Architecture (MADL)
A novel Time-Frequency decomposition
Transforming Time Series into Richer Images for Enhanced Classification
Smart Pruning of Deep Neural Networks
Efficient Pruning of Deep Neural Networks Using Polynomial Curve Fitting and Evolutionary Algorithms
Divide well to merge better: A novel clustering algorithm
An Enhanced Non-Parametric Approach for Optimized Clustering
KNNOR: An oversampling technique for imbalanced datasets
Enhancing Minority Class Representation in Imbalanced Datasets with Advanced K-Nearest Neighbor Oversampling
Unsupervised outlier detection in multidimensional data
Efficient and Robust Outlier Detection Using Unidimensional Distance Space and Joint Probability Density Estimation
Multi-Cluster Jumping Particle Swarm Optimization for Fast Convergence
A Novel Approach for Fast Convergence in High-Dimensional Optimization
Enhancing Random Forests with Smart Voting
Innovations in the Random Jungle Algorithm
Distance Based Joint Probability Density Estimation for Unsupervised Outlier Detection
Advantages and Evaluation of the Proposed JPDE-DM Approach for Outlier Detection
Bird’s Eye View feature selection for high-dimensional data
Evolutionary Algorithms and Reinforcement Learning for Effective High-Dimensional Feature Selection
From Collatz Conjecture to chaos and hash function
Leveraging Chaotic Systems for Enhanced Hash Functions in Cryptographic Applications
Data Mining of Protein Sequences with Amino Acid Position-Based Feature Encoding Technique
Novel Amino Acid Position-Based Encoding for Protein Sequence Classification
Advanced Statistical Metrics for Gas Identification System With Quantification Feedback
Enhanced Gas Identification Using Cluster-k-NN and Advanced Statistical Metrics
A statistical based feature extraction method for breast cancer diagnosis in digital mammogram using multiresolution representation
Optimizing Mammogram Analysis with Multiresolution Feature Extraction
Computer Aided Diagnosis System based on Machine Learning Techniques for Lung Cancer
Improving Lung Cancer Detection Using Wavelet-Based Feature Extraction and Cluster-KNN
IJCB 2022 Mobile Behavioral Biometrics Competition (MobileB2C)
Benchmarking Mobile Behavioral Biometrics for Continuous Authentication
Efficient Feature Selection and Classification of Protein Sequence Data in Bioinformatics
Enhanced Accuracy in Protein Classification via Statistical Metric-Based Feature Selection
An Efficient Wireless Sensor Network-based Water Quality Monitoring System
Reusable, Energy-Efficient WSN for Real-Time Water Quality Monitoring

Vitæ

Full Resume in PDF.

  • Hamad Bin Khalifa Unniversity, Qatar 2016 - now
    Associate Professor
    College Of Science & Engg
  • University of Sharjah, UAE 2015 - 2017
    Associate Professor
    College of Science
  • INNOPOLIS University, Russia 2014 - 2016
    Associate Professor
    College of Science
  • ALFAISAL University, KSA 2012 - 2015
    Vice Dean
    College of Science and General Studies
  • UTP, Malaysia 2009 - 2012
    Assistant Professor
    Fundamental Applied Science
  • UTP, Malaysia 2007 - 2009
    Assistant Professor
    Electrical and Electronic Engineering
  • EPFL, Switzerland 2001 - 2006
    Research Assistant
    Laboratory of Stochastic Processes
  • EPFL, Switzerland 2002 - 2006
    Ph.D. Student
    Mathematical Sciences : Stochastic processes and applications
  • INP/ENSEEIHT, France 1999 - 2000
    M.Sc. Student
    Networks and Telecommunications: Signal/Image Processing

Website Contributors

This website was made with the contributions of Ashhad, Younis and Yara.